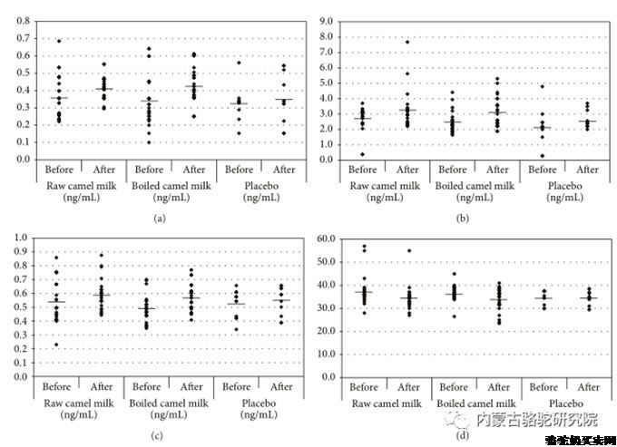
自闭症谱系障碍(ASD)是一种严重的神经发育障碍,发病于3岁之前。其特征是社交取向,沟通和重复行为受损,行为障碍,自闭症与自身免疫性疾病,胃肠道疾病和营养不良和智力低下的高患病率有关。自闭症的患病率在过去几十年中有所增加。广泛的研究表明氧化应激在多种神经系统疾病的病理中起着至关重要的作用,例如阿尔茨海默氏病,唐氏综合症,帕金森氏病,精神分裂症和自闭症。大量研究表明,氧化应激在多种神经系统疾病的病理中起着至关重要的作用,包括自闭症谱系障碍(ASD);这些研究表明,谷胱甘肽和抗氧化酶具有病理生理上的生理机能失调。此外,骆驼奶粉合并具有潜在的治疗效果。目前的研究目的是通过酶切,过氧化物酶消化,多次酶切鉴定来评估骆驼奶对氧化应激生物标志物的自闭症的影响。食用骆驼奶后,所有测得的参数均显着增加(p<0.5)。这些发现表明,骆驼奶可能通过改变抗氧化酶和非酶活性而在减少氧化应激中起重要作用。抗氧化剂分子水平提高,儿童自闭症表现出的自闭症改善行为评分量表(CARS)得以改善。

图1骆驼奶治疗前后自闭症患者中(a)GSH,(b)SOD,(c)MPO和(d)CARS的水平。